2025年新高考仿真模拟卷数学试题及答案
作者:整理中来源:网络时间:2025-09-17 18:52次
摘要:各位高考考生注意了,距离2025年高考所剩的时间已经不多了,大家是不是每天都在疯狂刷题呢?今天小编特地带来了一篇数学试卷,大家来一起看看吧!下面是小编收集整理的 “2025年新高考仿真模拟卷数学试题及答案” ,本文仅供各位考生参考,欢迎阅读。2025年新
各位高考考生注意了,距离2024年高考所剩的时间已经不多了,大家是不是每天都在疯狂刷题呢?今天小编特地带来了一篇数学试卷,大家来一起看看吧!下面是小编收集整理的 “2024年新高考仿真模拟卷数学试题及答案” ,本文仅供各位考生参考,欢迎阅读。
2024年新高考仿真模拟卷数学试题及答案




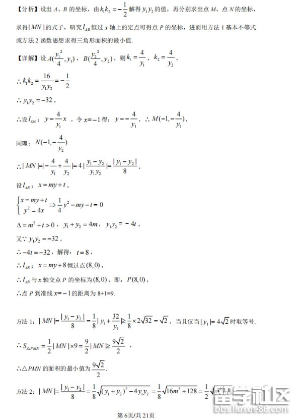
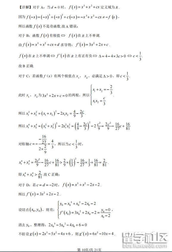
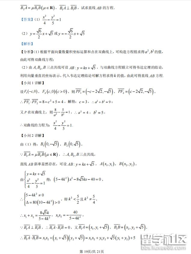
参考答案:


















关键词:2025年,新高考,新,高考,仿真,模拟,卷,数学试题,
- 相关文章
- 2025年新高考仿真模拟卷数学试题及答案09-17
- 欧洲移民最新政策:多个欧洲国家收紧"黄金签09-17
- 2025年湖北普通高中学业水平合格性考试报名流程09-17
- 2025年上海市春季高考预录取及候补确认流程表09-17
- 2025年重庆市分类考试成绩查询及志愿填报时间09-17
- 云南曲靖航空学校2025年五年制大专报名咨询电话09-17
- 曲靖航空航天学校2025年三年制普通中专招生计划09-17
- 曲靖航空学校2025年普通中专招生信息09-17
- 曲靖航空技术学校2025年三年制普通中专报名时间09-17
- 曲靖航空技术学院2025年三年制普通中专专业信息09-17
- 曲靖航空专业学校2025年三年制中专招生简章09-17
- 曲靖航空职业技术学院2025年三年制普通中专招生09-17
推荐院校












